Vai al contenuto
quotidianobonuspensione.online
  • Home
  • Notizie
Bonus Bollette 2026
Notizie

Bonus Bollette 2026: Sconti fino a 1.226€ su Luce, Gas e Acqua – Verifica se hai diritto o No

Il Bonus Bollette 2026 si conferma una delle misure più rilevanti per aiutare le famiglie italiane a far fronte all’aumento dei costi di luce,…

Read More
Featured image placeholder 16:9

Bonus Bollette 2026: Sconti fino a 1.226€ su Luce, Gas e Acqua – Verifica se hai diritto o No

Featured image placeholder 16:9

Carta spesa e benzina 2026 Inps: 500 euro per ridurre le spese! Scopri quando arriva e come richiederla

Featured image placeholder 16:9

Bonus 500€, Carta Dedicata a Te 2026: in arrivo da ottobre 2026, ma solo per alcune famiglie

Featured image placeholder 16:9

Aumento Pensione Minima 2026: 260 all’anno per Invalidi Minimi e Maggiorazioni Sociali

Latest Articles

Aumento Pensione Minima 2026: 260 all’anno

Aumento Pensione Minima 2026: 260 all’anno per Invalidi Minimi e Maggiorazioni Sociali

Aprile 24, 2026
View Article
Tutti i bonus 2026 per chi ha un ISEE fino a 15.000 euro: luce, gas, Carta “Dedicata a te” e nuovi nati

Tutti i bonus 2026 per chi ha un ISEE fino a 15.000 euro: luce, gas, Carta “Dedicata a te” e nuovi nati

Aprile 24, 2026
View Article
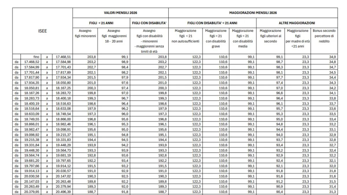
Tabella Assegno Unico 2026 Pdf: Tutti Nuovi Importi e Nuove Maggiorazioni - Tabella Inps

Tabella Assegno Unico 2026 PDF: Tutti Nuovi Importi e Nuove Maggiorazioni – Circolare Inps

Aprile 24, 2026
View Article
Al via le ricariche della Carta Dedicata a Te 2025 da 500 euro - Ecco come verificare

Al via le ricariche della Carta Dedicata a Te 2026 da 500 euro – Ecco come verificare

Aprile 24, 2026
View Article
Carta Solidale “Dedicata a Te” 2025: Al via le Verifiche Online – Ecco il LINK per controllare se hai diritto o no

Carta Solidale “Dedicata a Te” 2025: Al via le Verifiche Online – Ecco il LINK per controllare se hai diritto o no

Aprile 24, 2026
View Article
Tutti i Pagamenti INPS Marzo 2026: Nuove Date, Assegno Unico, ADI, Naspi e Carta Acquisti 80 euro

Tutti i Pagamenti INPS Marzo 2026: Nuove Date, Assegno Unico, ADI, Naspi e Carta Acquisti 80 euro

Aprile 24, 2026
View Article
Confermata "Carta Dedicata a Te" 2026 INPS: Ricarica da 500 Euro Quando arriva, Chi Ne Ha Diritto e Chi No

Confermata “Carta Dedicata a Te” 2026 INPS: Ricarica da 500 Euro Quando arriva, Chi Ne Ha Diritto e Chi No

Aprile 24, 2026
View Article
Pagamento Assegno di Inclusione Aprile 2026

Pagamento Assegno di Inclusione Aprile 2026: Ecco il calendario INPS con 3 date

Aprile 24, 2026
View Article
©2026 quotidianobonuspensione.online